Maui STR Ban Bill 9 Exemption List and Temporary Investigative Group Report (Proposed 10/14/25)
.jpg)
On October 14th, the Temporary Investigative Group (TIG) of the Housing and Land Use Committee reported the results of their findings to the public, which included a much-welcomed determination that the bill to take away STR rights of owners on the Minatoya List should include an exemption list of 53 properties that includes many Minatoya List condo complexes and a few BnB residential properties.
Most of us in the Maui community have been hoping to see some logic and reason applied to this issue. Aside from the economic consequences of such a possible ban, there are many reasons why simply banning short-term rentals in apartment-zoned complexes won't achieve the desired result of expanded access to more affordable housing for locals.
Even the modified Bill 9, when passed in its final version, may not survive the inevitable legal challenge, but at least these owners may be exempt from another year of uncertainty.
You can read all of my thoughts on the issue at large here.
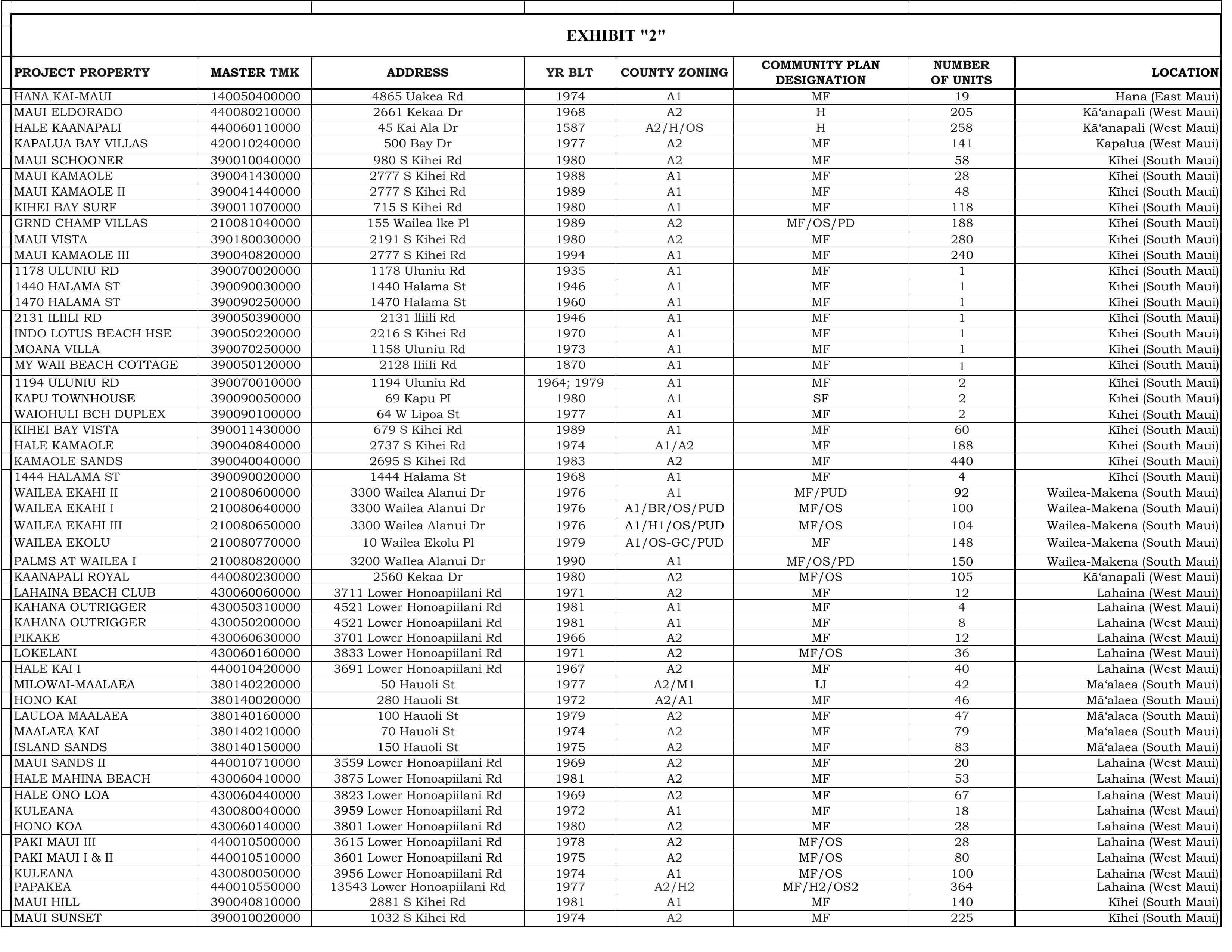
List of Complexes Recommended by the Temporary Investigative Group To Be Exempt From the STR Ban
Maui Condo Complexes Possibly Exempt from STR Ban
.jpg)
Full Transcript of the Report from the TIG:
Bill 9 Temporary Investigative Group on Transient Vacation Rentals in Apartment Districts – Final Report
Source: Maui County Housing and Land Use Committee – Bill 9 Temporary Investigative Group Final Report (October 14, 2025)
October 14, 2025
MEMO TO: Members of the Housing and Land Use Committee
FROM: Nohelani UĘ»u-Hodgins, Chair – Bill 9 Temporary Investigative Group
SUBJECT: Temporary Investigative Group on Transient Vacation Rentals in Apartment Districts Final Report (HLU-4(1)) (PAF 25-226)
The Bill 9 Temporary Investigative Group of the Housing and Land Use Committee, having met on September 15, 16, 17, 19, 23, 27, and 29, 2025, makes its report as follows:
I. Background
By correspondence dated August 13, 2025, HLU Committee Vice-Chair Nohelani Uʻu-Hodgins transmitted a legislative proposal to establish a Temporary Investigative Group on policies and procedures for Transient Vacation Rental uses in Apartment Districts.
Under Section 92-2.5, Hawai‘i Revised Statutes, the Bill 9 TIG was formed, as described in the legislative proposal, by the Housing and Land Use Committee on August 20, 2025.
HLU Committee Vice-Chair Uʻu-Hodgins was designated as the TIG Chair, Councilmember Tamara Paltin as the TIG Vice-Chair, and Councilmembers Tom Cook and Shane M. Sinenci as TIG voting members.
The TIG was required to submit a report of the group's recommendations to the HLU Committee by December 31, 2025.
II. Purpose and Scope
The Bill 9 TIG was directed to make findings and recommendations to the Committee on:
1. Identifying Apartment District properties where continuing Transient Vacation Rental uses may be appropriate, even if the Council enacts an ordinance phasing out TVRs as permitted uses in the A-1 and A-2 zones.
2. Summarizing forecasted economic and social impacts of TVR uses being phased out in the Apartment Districts.
3. Suggesting Council-initiated bills to approve a Change in Zoning, Community Plan Amendment, or Conditional Permit for the identified properties.
4. Suggesting improvements to Chapter 19.510, Maui County Code, “Application and Procedures,” to make applications for a Change in Zoning, Community Plan Amendment, or other land-use entitlements more cost-efficient and time-efficient.
III. Rules, Procedures, and Dissolution
The Bill 9 TIG conducted its meetings and discussions under the authority of:
- The legislative proposal that established the TIG; and
- HRS Subsection 92-2.5(b), which states that two or more board members, but fewer than the number constituting a quorum, may be assigned to investigate a matter relating to the board’s official business, provided that findings and recommendations are later presented publicly.
Accordingly, the TIG’s authorizations were satisfied at the HLU Committee’s August 20, 2025 meeting. The TIG is dissolved upon presentation of this report.
IV. Meetings
The TIG held meetings on September 15, 16, 17, 19, 23, 27, and 29, 2025. All four TIG members were present at each meeting, along with staff from the Office of Council Services and the Department of the Corporation Counsel.
Participants included the Mayor, Managing Director, staff from the Department of Planning and Department of Finance, real estate professionals, housing advocates, and loan officers.
Topics discussed included:
- TVR use in Apartment and Hotel Districts
- Economic and social impacts of TVR phaseouts
- Mortgage and loan processes
- Department of Planning’s review processes
- Sea Level Rise Exposure Area considerations
- Potential legislative and administrative improvements
The TIG also conducted site visits around Maui Island.
V. Findings and Recommendations
The TIG found the following potential economic and social impacts of TVRs being phased out in Apartment Districts:
- The economic impact to the County, particularly regarding Real Property Taxes (RPT), is uncertain due to potential changes in classifications, tiers, and rates.
- Assuming no changes to the current RPT system, the County’s RPT revenue would decrease the most if all units became owner-occupied, and the least if they became non-owner-occupied.
- While short-term impacts to RPT revenue may be minor, reductions in General Excise and Transient Accommodations Tax revenues are likely as properties transition away from vacation rental use.
- Fewer TVRs could reduce tourism, potentially affecting hospitality jobs.
- Many Apartment District TVRs are in West Maui, where housing shortages persist after the August 2023 Wildfires. Some TVR units could transition to permanent housing for displaced residents.
- The TIG discussed implementing an empty-homes tax or similar incentives to encourage full-time occupancy.
Recommendations:
Recommendation #1: Urge the Department of Planning to introduce legislation establishing H-3 and H-4 Hotel Districts.
These districts would mirror the A-1 and A-2 Apartment Districts but allow TVRs outright, providing a path for certain properties to continue lawful operations without phasing out.
Recommendation #2: Council-initiated land-use-designation changes.
The Council should initiate:
1. Zoning changes from A-1/A-2 Apartment Districts to H-3/H-4 Hotel Districts once those are established.
2. Related community plan amendments for South Maui and other affected areas.
3. Consider policies for properties impacted by sea-level rise or located in full SLR-XA zones, which may not produce long-term housing options.
VI. Summary
Under HRS Section 92-2.5, the Bill 9 TIG was established on August 20, 2025, to investigate and make findings and recommendations on policies and procedures for Transient Vacation Rentals in Apartment Districts.
After seven meetings with County officials, stakeholders, and the public, the TIG concluded that the economic impact of phasing out TVRs depends largely on RPT adjustments and market behavior. While a decrease in vacation rentals could reduce tourism and tax revenue, it may improve housing availability for residents.
The TIG unanimously voted to recommend:
1. Introduction of legislation establishing H-3 and H-4 Hotel Districts.
2. Council-initiated zoning and community plan changes for identified properties.
The TIG is dissolved as of October 14, 2025.
---
Exhibit 1 – Legislative Proposal
Purpose:
To investigate policies and procedures for Transient Vacation Rental uses in Apartment Districts.
Scope:
1. Evaluate Apartment District properties allowing TVRs.
2. Review Planning Department’s processes for land-use-designation changes.
3. Interview County officials, planners, economists, and industry representatives.
4. Research other municipalities’ land-use policies.
5. Recommend zoning, procedural, and administrative improvements.
Membership:
- Nohelani Uʻu-Hodgins, Chair
- Tamara Paltin, Vice-Chair
- Tom Cook, Member
- Shane M. Sinenci, Member
The Temporary Investigative Group will submit a report of the group’s recommendations to the Housing and Land Use Committee by December 31, 2025, and will dissolve after presentation of its report.
---
End Transcript
My Thoughts on the Current Status of Bill 9
I'm grateful that the Temporary Investigative Group, the Planning Commission, and the County Council appear to be working towards finding a balance in the goal of finding ways to make housing more affordable for local residents of Maui. T
his report shows some thoughtful consideration to Bill 9 in that they recognize the significance that these units have on the economy and how they would not be suitable or affordable even as non-STRs for local residents, considering factors like the high HOA fees.
They did leave a few complexes off the list, and their criteria weren't entirely clear about how they chose who to recommend for exemption. I would include Pacific Shores, Kihei Resort, Kapalua Golf Villas, and Kapalua Ridge Villas if we are working off what they proposed.
In any event, when all of this is behind us, I still believe a legally defensible and enforced STR ban will not come to fruition. The time will have been wasted in this arbitrary pursuit rather than in a more viable avenue. Better options include establishing a task force to start cracking down on existing illegal STR operators today, establishing a fund for affordable housing that puts the STR property taxes to good use, and investing in better long-term planning.
There is a very strong legal precedent from Oahu in 2022, when an identical effort was made, resulting in a federal judge determining that the bill was unconstitutional as a taking of vested property rights by the government, which this is. By watering down its case through picking and choosing which complexes to include, the Council could be undermining its own case against the legality of the Minatoya List.
We will continue to follow this closely, and if you have any questions, feel free to reach out to me at 808-214-4799.
Get In Touch With Evan!
_(1).webp)
Evan Harlow ranks among the best real estate agents on Maui annually and is in the top 1% of Coldwell Banker agents worldwide in production. Evan has the expertise, experience, and work ethic to help you achieve your real estate buying and selling goals. We promise exceptional service and support from the beginning of the process through closing and beyond. See what Evan's clients are saying on Google.
Posted by Evan Harlow R(S) on

Leave A Comment